See also
A Jupyter notebook version of this tutorial can be downloaded here.

Numerically Controlled Oscillator#
In this tutorial we will demonstrate how to use the numerically controlled oscillator (NCO) during an experiment by Changing the modulation frequency, e.g. for rapid spectroscopy measurements
We will show this by using a QRM and directly connecting outputs \(\text{O}^{[1-2]}\) to inputs \(\text{I}^{[1-2]}\) respectively. We will then use the QRM’s sequencers to sequence waveforms on the outputs and simultaneously acquire the resulting waveforms on the inputs.
Whilst this tutorial is for the baseband modules, a similar procedure for spectroscopy with RF modules can be found in the RF Control tutorial.
Getting Started#
How the NCO works#
Modulation#
The NCO modulates the AWG output with a certain frequency, such that we only need to store the envelope of any waveform to create a wave with the correct frequency and phase. To enable IQ up- and down-conversion to RF frequencies, the device will generate a phase shifted signal on both signal paths.
If modulation is enabled, the value of the NCO (\(e^{i\omega t}\)) will be multiplied by the awg outputs (\(z(t) = \text{awg}_0 + i \cdot \text{awg}_1\)), and also by a factor of \(1 / \sqrt{2}\) to prevent clipping, and forwarded to path 0/1 as follows:
\begin{equation*} \text{path}_{0, \text{out}} = \frac{1}{\sqrt{2}}(\cos(\omega t)\text{awg}_0 - \sin(\omega t)\text{awg}_1) \end{equation*}
\begin{equation*} \text{path}_{1, \text{out}} = \frac{1}{\sqrt{2}}(\sin(\omega t)\text{awg}_0 + \cos(\omega t)\text{awg}_1) \end{equation*}
These two outputs can then be used within a QxM-RF module or by an external IQ mixer to generate RF pulses. Each path, 0/1, will have two components (real and imaginary) referred to as I and Q. However, the NCO can also be operated in real mode which will create a direct modulated output.
Demodulation#
When analyzing acquired signals, we are usually interested in their envelope rather than the full oscillating waveform—especially when integrating. To facilitate this, the NCO (Numerically Controlled Oscillator) can be used to demodulate the signal before integration.
If demodulation is enabled, the signal is multiplied by the NCO (effectively \(e^{-i\omega t}\) during demodulation), introducing a factor of \(\sqrt{2}\).
This results in a net amplitude factor of 1 for signals that are both modulated and demodulated—making the effect invisible to the user in standard use cases.
The relevant equations are:
Note
If only one path is used (for example, measuring a DC voltage with a QRM), this factor becomes visible. In such cases, the measured signal will appear larger by a factor of \(\sqrt{2}\) than it truly is.
Setup#
First, we are going to import the required packages and connect to the instrument.
[1]:
from __future__ import annotations
import json
from typing import TYPE_CHECKING
import matplotlib.pyplot as plt
import numpy as np
from matplotlib import colors
from qcodes.instrument import find_or_create_instrument
from scipy.signal import spectrogram, welch
from qblox_instruments import Cluster, ClusterType
if TYPE_CHECKING:
from numpy.typing import NDArray
Scan For Clusters#
We scan for the available devices connected via ethernet using the Plug & Play functionality of the Qblox Instruments package (see Plug & Play for more info).
!qblox-pnp list
[2]:
cluster_ip = "10.10.200.42"
cluster_name = "cluster0"
Connect to Cluster#
We now make a connection with the Cluster.
[3]:
cluster = find_or_create_instrument(
Cluster,
recreate=True,
name=cluster_name,
identifier=cluster_ip,
dummy_cfg=(
{
2: ClusterType.CLUSTER_QCM,
4: ClusterType.CLUSTER_QRM,
6: ClusterType.CLUSTER_QCM_RF,
8: ClusterType.CLUSTER_QRM_RF,
}
if cluster_ip is None
else None
),
)
Get connected modules#
[4]:
# QRM baseband modules
modules = cluster.get_connected_modules(lambda mod: mod.is_qrm_type and not mod.is_rf_type)
modules
[4]:
{4: <QRM, cluster0_module4>}
[5]:
readout_module = modules[4]
Reset the Cluster#
We reset the Cluster to enter a well-defined state. Note that resetting will clear all stored parameters, so resetting between experiments is usually not desirable.
[6]:
cluster.reset()
print(cluster.get_system_status())
Status: OKAY, Flags: NONE, Slot flags: NONE
Frequency sweeps#
One of the most common experiments is to test the frequency response of the system, e.g. to find the resonance frequencies of a qubit or a resonator. For the purpose of this tutorial, we will sweep the full frequency range supported by the QRM. To improve accuracy we can use the maximum integration time and multiple averages. This does not change the overall measurement time much, as most of it is used for the setup.
[7]:
start_freq = -500e6
stop_freq = 500e6
n_averages = 10
MAXIMUM_SCOPE_ACQUISITION_LENGTH = 16384
In this tutorial, we will analyze the raw data measured by the scope acquisition of the QRM. For this we will define a simple helper function using scipy.signal.spectrogram and scipy.signal.welch. The spectrogram shows the frequency spectrum of the QRM output as a function of time, to visualize the frequency sweeps we are doing. Welch’s method is used to compute the input power as a function of frequency (power spectral density). This way we obtain the response of the system to find features of interest, e.g. a resonance.
[8]:
# Power as function of frequency and time by chunking the data
def plot_spectrogram(time_series: np.ndarray) -> None:
if not np.any(time_series):
return
f_sample = 1e9 # All devices have 1 GSPS sample rate
fig, ax = plt.subplots(1, 2)
f, t, Sxx = spectrogram(time_series, f_sample, return_onesided=False, detrend=False)
idx = np.argsort(f)
f = f[idx] / 1e6
Sxx = Sxx[idx]
cmap = colors.LinearSegmentedColormap.from_list("qblox", ["#FFFFFF", "#00839F"])
spec = ax[0].pcolormesh(t, f, Sxx, shading="auto", cmap=cmap)
cb = fig.colorbar(spec)
cb.set_label("Power Spectral Density [V$^2$/Hz]")
ax[0].set_ylabel("Frequency [MHz]")
ax[0].set_xlabel("Time [s]")
f, Pxx = welch(time_series, f_sample, return_onesided=False, detrend=False)
idx = np.argsort(f)
f = f[idx] / 1e6
Pxx = Pxx[idx]
ax[1].semilogy(f, Pxx)
ax[1].set_xlabel("Frequency [MHz]")
ax[1].set_ylabel("Power Spectral Density [V$^2$/Hz]")
fig.tight_layout()
plt.show()
And two more helper functions for plotting the amplitude of an array of I, Q values and a scope acquisition:
[9]:
def plot_amplitude(x: NDArray, I_data: NDArray, Q_data: NDArray) -> None:
amplitude = np.abs(I_data + 1j * Q_data)
plt.plot(x / 1e6, amplitude)
plt.xlabel("Frequency [MHz]")
plt.ylabel("Integration [V]")
plt.show()
def plot_scope(trace: NDArray, t_min: int, t_max: int) -> None:
x = np.arange(t_min, t_max)
plt.plot(x, np.real(trace[t_min:t_max]))
plt.plot(x, np.imag(trace[t_min:t_max]))
plt.ylabel("Scope [V]")
plt.xlabel("Time [ns]")
plt.show()
Setting up the QRM#
We set up a modulated DC offset:
[10]:
readout_module.disconnect_outputs()
readout_module.disconnect_inputs()
# Configure channel map
readout_module.sequencer0.connect_sequencer("io0_1")
# Set DC Offset
readout_module.sequencer0.offset_awg_path0(1)
readout_module.sequencer0.offset_awg_path1(1)
# Enable modulation and demodulation. Note that the scope is not demodulated
readout_module.sequencer0.mod_en_awg(True)
readout_module.sequencer0.demod_en_acq(True)
# Enable hardware averaging for the scope
readout_module.scope_acq_avg_mode_en_path0(True)
readout_module.scope_acq_avg_mode_en_path1(True)
readout_module.sequencer0.integration_length_acq(MAXIMUM_SCOPE_ACQUISITION_LENGTH)
NCO sweep controlled by the host computer#
As a baseline, we will run a simple frequency sweep controlled by the host computer using QCoDeS. We do this by setting a DC offset and modulating it with the NCO. This is quite slow, so we will only measure 200 steps to keep the measurement time reasonable.
[11]:
n_steps = 200
step_freq = (stop_freq - start_freq) / n_steps
print(f"Step size {step_freq / 1e6} MHz")
nco_sweep_range = np.arange(start_freq, stop_freq, step_freq)
Step size 5.0 MHz
Now we set up a simple program that acquires data and averages. The frequency will be set later with the QCoDeS interface.
[12]:
acquisitions = {"acq": {"num_bins": 1, "index": 0}}
# Sequence program.
slow_sweep = f"""
move {n_averages}, R0 # Average iterator.
avg_loop:
reset_ph
upd_param 200
acquire 0, 0, {MAXIMUM_SCOPE_ACQUISITION_LENGTH}
loop R0, @avg_loop
stop
"""
# Add sequence to single dictionary and write to JSON file.
sequence = {
"waveforms": {},
"weights": {},
"acquisitions": acquisitions,
"program": slow_sweep,
}
with open("sequence.json", "w", encoding="utf-8") as file:
json.dump(sequence, file, indent=4)
file.close()
Next, we prepare the QRM for the measurement:
[13]:
readout_module.sequencer0.sequence("sequence.json")
Now we can run the frequency sweep. This is simply a loop where we set the frequency with QCoDeS and then run the program defined above. We measure the run time using the %%time Jupyter magic command.
[14]:
%%time
data = []
for nco_val in nco_sweep_range:
# Set the frequency
readout_module.sequencer0.nco_freq(nco_val)
# Run the program
readout_module.arm_sequencer(0)
readout_module.start_sequencer()
# Wait for the sequencer to stop with a timeout period of one minute.
readout_module.get_acquisition_status(0, timeout=1)
# Move acquisition data from temporary memory to acquisition list.
readout_module.store_scope_acquisition(0, "acq")
# Get acquisition list from instrument.
data.append(readout_module.get_acquisitions(0)["acq"])
# Clear acquisition data so we do not average the results from different frequencies
readout_module.sequencer0.delete_acquisition_data("acq")
CPU times: user 450 ms, sys: 562 ms, total: 1.01 s
Wall time: 6.25 s
Plotting the acquired integration data, we can see the frequency behavior of the QRM.
[15]:
I_data = (
np.asarray([d["acquisition"]["bins"]["integration"]["path0"][0] for d in data])
/ MAXIMUM_SCOPE_ACQUISITION_LENGTH
)
Q_data = (
np.asarray([d["acquisition"]["bins"]["integration"]["path1"][0] for d in data])
/ MAXIMUM_SCOPE_ACQUISITION_LENGTH
)
plot_amplitude(nco_sweep_range, I_data, Q_data)
We can see that the output amplitude decreases with frequency, this is expected due to the analog filters. We can also analyze the accumulated scope data with a spectrogram. This takes a few seconds, as there are 16384 data points per frequency step. Note that the time axis of the spectrogram refers to measurement time (16.4us * 200 steps \(\approx\) 3.3ms) and not the wall clock time, which is significantly longer.
[16]:
data_scope = (
np.asarray([d["acquisition"]["scope"]["path0"]["data"] for d in data]).flatten()
+ 1j * np.asarray([d["acquisition"]["scope"]["path1"]["data"] for d in data]).flatten()
)
plot_spectrogram(data_scope)
Spectroscopy using Q1ASM#
Now we will run the same spectroscopy experiment using Q1ASM to change the NCO frequency in real time. First, we set up the QRM for continuous wave output and binned acquisition with many bins. This is significantly faster than using QCoDeS. The maximum number of points that can be measured this way is 131072 per sequencer. This corresponds to the number of bins available for acquisition per sequencer.
The sequencer program can fundamentally only support integer values. However, the NCO has a frequency resolution of 0.25 Hz and supports \(10^9\) phase values. Therefore, frequencies in the sequencer program must be given as integer multiple of \(1/4\) Hz, and phases as integer multiple of \(360/10^9\) degree.
[17]:
n_steps = 200
step_freq = (stop_freq - start_freq) / n_steps
print(f"{n_steps} steps with step size {step_freq / 1e6} MHz")
# Convert frequencies to multiples of 0.25 Hz
nco_int_start_freq = int(4 * start_freq)
nco_int_step_freq = int(4 * step_freq)
200 steps with step size 5.0 MHz
[18]:
acquisitions = {"acq": {"num_bins": n_steps, "index": 0}}
setup = f"""
move {n_averages}, R2
avg_loop:
move 0, R0 # frequency
move 0, R1 # step counter
"""
# To get a negative starting frequency, we subtract a positive number from 0
if start_freq <= 0:
setup += f"""
sub R0, {-nco_int_start_freq}, R0
"""
else:
setup += f"""
add R0, {nco_int_start_freq}, R0
"""
spectroscopy = (
setup
+ f"""
reset_ph
set_freq R0
upd_param 200
nco_set:
set_freq R0 # Set the frequency
add R0, {nco_int_step_freq}, R0 # Update the frequency register
upd_param 200 # Wait for time of flight
acquire 0, R1, {MAXIMUM_SCOPE_ACQUISITION_LENGTH}
add R1, 1, R1
nop
jlt R1, {n_steps}, @nco_set # Loop over all frequencies
loop R2, @avg_loop
stop # Stop
"""
)
# Add sequence to single dictionary and write to JSON file.
sequence = {
"waveforms": {},
"weights": {},
"acquisitions": acquisitions,
"program": spectroscopy,
}
with open("sequence.json", "w", encoding="utf-8") as file:
json.dump(sequence, file, indent=4)
Now we prepare the QRM for measurement.
[19]:
readout_module.sequencer0.sequence("sequence.json")
[20]:
%%time
readout_module.arm_sequencer(0)
readout_module.start_sequencer()
print("Status:")
print(readout_module.get_sequencer_status(0))
# Wait for the sequencer to stop with a timeout period of one minute.
readout_module.get_acquisition_status(0, timeout=1)
data = readout_module.get_acquisitions(0)["acq"]
Status:
Status: WARNING, State: RUNNING, Info Flags: ACQ_SCOPE_DONE_PATH_0, ACQ_SCOPE_DONE_PATH_1, Warning Flags: OUTPUT_OVERFLOW, Error Flags: NONE, Log: []
CPU times: user 40.7 ms, sys: 16.8 ms, total: 57.6 ms
Wall time: 124 ms
Note that the same measurement as before is now two orders of magnitude faster. If we plot the integrated data, we get the same results as before.
[21]:
# For plotting, convert the NCO integer values back to frequencies
nco_sweep_range = (np.arange(n_steps) * nco_int_step_freq + nco_int_start_freq) / 4.0
I_data = (
np.asarray(data["acquisition"]["bins"]["integration"]["path0"])
/ MAXIMUM_SCOPE_ACQUISITION_LENGTH
)
Q_data = (
np.asarray(data["acquisition"]["bins"]["integration"]["path1"])
/ MAXIMUM_SCOPE_ACQUISITION_LENGTH
)
plot_amplitude(nco_sweep_range, I_data, Q_data)
NCO input delay compensation#
By default, the input and output of the QRM are multiplied with the same NCO value. As the output path has a time of flight of about 149 ns between the NCO and playback (provided no RTP filters are activated), this means that there is a short time window after frequency/phase updates where demodulation is updated, but playback is still using the old value. There is also always a (fixed) relative phase between playback and demodulation. We can showcase this by using a similar program as before, but with less points, so that the frequency steps are more clearly visible.
[22]:
n_steps = 20
n_averages = 1000
step_freq = (stop_freq - start_freq) / n_steps
print(f"{n_steps} steps with step size {step_freq / 1e6} MHz")
# Convert frequencies to multiples of 0.25 Hz
nco_int_start_freq = int(4 * start_freq)
nco_int_step_freq = int(4 * step_freq)
# For plotting, convert the NCO integer values back to frequencies
nco_sweep_range = np.arange(nco_int_start_freq, 4 * stop_freq, nco_int_step_freq) / 4.0
20 steps with step size 50.0 MHz
To make the effect of NCO delay compensation more apparent, we modify the spectroscopy program for short integration time and acquire immediately after the frequency update, without waiting for time of flight. This means that the output at the new frequency only arrives at the input AFTER integration in the current loop iteration has finished. Without further modifications of the program this leads to an off-by-one error. Therefore, we increase the frequency as the first step in the loop.
[23]:
acquisitions = {"acq": {"num_bins": n_steps, "index": 0}}
setup = f"""
move {n_averages}, R2
avg_loop:
move 0, R0 # frequency
move 0, R1 # step counter
"""
# To get a negative starting frequency, we subtract a positive number from 0
if start_freq <= 0:
setup += f"""
sub R0, {-nco_int_start_freq}, R0
"""
else:
setup += f"""
add R0, {nco_int_start_freq}, R0
"""
spectroscopy = (
setup
+ f"""
reset_ph
set_freq R0
upd_param 200
nco_set:
# Due to time of flight, the new frequency will only arrive at the input AFTER integration is done
# Therefore, we already increase the frequency before the first measurement.
add R0, {nco_int_step_freq}, R0
nop
set_freq R0
# we removed upd_param, so that acquisition starts the moment the frequency is updated
acquire 0, R1, 1200 # Update the NCO and immediately acquire
add R1, 1, R1
nop
jlt R1, {n_steps}, @nco_set # Loop over all frequencies
loop R2, @avg_loop
stop # Stop
"""
)
# Add sequence to single dictionary and write to JSON file.
sequence = {
"waveforms": {},
"weights": {},
"acquisitions": acquisitions,
"program": spectroscopy,
}
with open("sequence.json", "w", encoding="utf-8") as file:
json.dump(sequence, file, indent=4)
As a baseline, we will do a measurement with delay compensation disabled.
[24]:
readout_module.sequencer0.sequence("sequence.json")
readout_module.sequencer0.integration_length_acq(140)
readout_module.sequencer0.nco_prop_delay_comp_en(False)
[25]:
readout_module.arm_sequencer(0)
readout_module.start_sequencer()
print("Status:")
print(readout_module.get_sequencer_status(0))
# Wait for the sequencer to stop with a timeout period of one minute.
readout_module.get_acquisition_status(0, timeout=1)
data = readout_module.get_acquisitions(0)["acq"]
I_data = np.asarray(data["acquisition"]["bins"]["integration"]["path0"]) / 140
Q_data = np.asarray(data["acquisition"]["bins"]["integration"]["path1"]) / 140
plot_amplitude(nco_sweep_range, I_data, Q_data)
Status:
Status: OKAY, State: RUNNING, Info Flags: ACQ_BINNING_DONE, Warning Flags: NONE, Error Flags: NONE, Log: []
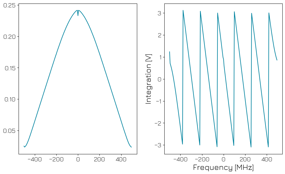
Even though we only measured a small number of points, we can see that this is not compatible with the previous spectroscopy measurements. What happened is that set_freq updates the NCO frequency immediately. However, there is a time of flight of about 149 ns between the NCO and the output of the device. Thus, the signal will be demodulated at \(f_0 + 100\) MHz immediately after set_freq, but the incoming signal is still modulated at \(f_0\) for another 149 ns - longer than the
integration time chosen above. The integrated signal will therefore be approximately zero.
Now we run the same experiment again, with delay compensation enabled.
[26]:
readout_module.sequencer0.sequence("sequence.json")
readout_module.sequencer0.nco_prop_delay_comp_en(True)
This ensures that, for demodulation, the NCO only updates after the time of flight, i.e. that frequency and phase of modulation and demodulation always match.
[27]:
readout_module.arm_sequencer(0)
readout_module.start_sequencer()
print("Status:")
print(readout_module.get_sequencer_status(0))
# Wait for the sequencer to stop with a timeout period of one minute.
readout_module.get_acquisition_status(0, timeout=1)
data = readout_module.get_acquisitions(0)["acq"]
I_data = np.asarray(data["acquisition"]["bins"]["integration"]["path0"]) / 140
Q_data = np.asarray(data["acquisition"]["bins"]["integration"]["path1"]) / 140
amplitude = np.abs(I_data + 1j * Q_data)
plot_amplitude(nco_sweep_range, I_data, Q_data)
Status:
Status: OKAY, State: RUNNING, Info Flags: ACQ_BINNING_DONE, Warning Flags: NONE, Error Flags: NONE, Log: []
We can see that modulation and demodulation frequency now match, producing similar results as the spectroscopy measurements before.
Stop#
Finally, let’s stop the playback and close the instrument connection. One can also display a detailed snapshot containing the instrument parameters before closing the connection by uncommenting the corresponding lines.
[28]:
# Stop both sequencers.
readout_module.stop_sequencer()
# Print status of both sequencers (should now say it is stopped).
print(readout_module.get_sequencer_status(0))
print(readout_module.get_sequencer_status(1))
print()
# Print an overview of the instrument parameters.
print("Snapshot:")
readout_module.print_readable_snapshot(update=True)
# Reset the cluster
cluster.reset()
print(cluster.get_system_status())
Status: OKAY, State: STOPPED, Info Flags: FORCED_STOP, ACQ_SCOPE_DONE_PATH_0, ACQ_SCOPE_DONE_PATH_1, ACQ_BINNING_DONE, Warning Flags: NONE, Error Flags: NONE, Log: []
Status: OKAY, State: STOPPED, Info Flags: NONE, Warning Flags: NONE, Error Flags: NONE, Log: []
Snapshot:
[cluster0_module4(Module)] Snapshot: Could not update parameter: scope_acq_sequencer_select
cluster0_module4:
parameter value
--------------------------------------------------------------------------------
connected : True
in0_gain : -6 (dB)
in0_offset : 0 (V)
in1_gain : -6 (dB)
in1_offset : 0 (V)
marker0_exp0_config : bypassed
marker0_exp1_config : bypassed
marker0_exp2_config : bypassed
marker0_exp3_config : bypassed
marker0_fir_config : bypassed
marker0_inv_en : False
marker1_exp0_config : bypassed
marker1_exp1_config : bypassed
marker1_exp2_config : bypassed
marker1_exp3_config : bypassed
marker1_fir_config : bypassed
marker1_inv_en : False
marker2_exp0_config : bypassed
marker2_exp1_config : bypassed
marker2_exp2_config : bypassed
marker2_exp3_config : bypassed
marker2_fir_config : bypassed
marker2_inv_en : False
marker3_exp0_config : bypassed
marker3_exp1_config : bypassed
marker3_exp2_config : bypassed
marker3_exp3_config : bypassed
marker3_fir_config : bypassed
marker3_inv_en : False
out0_exp0_config : bypassed
out0_exp1_config : bypassed
out0_exp2_config : bypassed
out0_exp3_config : bypassed
out0_fir_config : bypassed
out0_latency : 0 (s)
out0_offset : 0 (V)
out1_exp0_config : bypassed
out1_exp1_config : bypassed
out1_exp2_config : bypassed
out1_exp3_config : bypassed
out1_fir_config : bypassed
out1_latency : 0 (s)
out1_offset : 0 (V)
present : True
scope_acq_avg_mode_en_path0 : True
scope_acq_avg_mode_en_path1 : True
scope_acq_sequencer_select : None
scope_acq_trigger_level_path0 : 0
scope_acq_trigger_level_path1 : 0
scope_acq_trigger_mode_path0 : sequencer
scope_acq_trigger_mode_path1 : sequencer
cluster0_module4_sequencer0:
parameter value
--------------------------------------------------------------------------------
connect_acq_I : in0
connect_acq_Q : in1
connect_out0 : I
connect_out1 : Q
cont_mode_en_awg_path0 : False
cont_mode_en_awg_path1 : False
cont_mode_waveform_idx_awg_path0 : 0
cont_mode_waveform_idx_awg_path1 : 0
demod_en_acq : True
gain_awg_path0 : 1
gain_awg_path1 : 1
integration_length_acq : 140
marker_ovr_en : False
marker_ovr_value : 0
mixer_corr_gain_ratio : 1
mixer_corr_phase_offset_degree : -0
mod_en_awg : True
nco_freq : 4.95e+08 (Hz)
nco_freq_cal_type_default : off (Hz)
nco_phase_offs : 0 (Degrees)
nco_prop_delay_comp : 0 (ns)
nco_prop_delay_comp_en : True (ns)
offset_awg_path0 : 1
offset_awg_path1 : 1
sync_en : False
thresholded_acq_marker_address : 1
thresholded_acq_marker_en : False
thresholded_acq_marker_invert : False
thresholded_acq_rotation : 0 (Degrees)
thresholded_acq_threshold : 0
thresholded_acq_trigger_address : 1
thresholded_acq_trigger_en : False
thresholded_acq_trigger_invert : False
trigger10_count_threshold : 1
trigger10_threshold_invert : False
trigger11_count_threshold : 1
trigger11_threshold_invert : False
trigger12_count_threshold : 1
trigger12_threshold_invert : False
trigger13_count_threshold : 1
trigger13_threshold_invert : False
trigger14_count_threshold : 1
trigger14_threshold_invert : False
trigger15_count_threshold : 1
trigger15_threshold_invert : False
trigger1_count_threshold : 1
trigger1_threshold_invert : False
trigger2_count_threshold : 1
trigger2_threshold_invert : False
trigger3_count_threshold : 1
trigger3_threshold_invert : False
trigger4_count_threshold : 1
trigger4_threshold_invert : False
trigger5_count_threshold : 1
trigger5_threshold_invert : False
trigger6_count_threshold : 1
trigger6_threshold_invert : False
trigger7_count_threshold : 1
trigger7_threshold_invert : False
trigger8_count_threshold : 1
trigger8_threshold_invert : False
trigger9_count_threshold : 1
trigger9_threshold_invert : False
ttl_acq_auto_bin_incr_en : False
ttl_acq_input_select : 0
ttl_acq_threshold : 0
upsample_rate_awg_path0 : 0
upsample_rate_awg_path1 : 0
cluster0_module4_sequencer1:
parameter value
--------------------------------------------------------------------------------
connect_acq_I : off
connect_acq_Q : off
connect_out0 : off
connect_out1 : off
cont_mode_en_awg_path0 : False
cont_mode_en_awg_path1 : False
cont_mode_waveform_idx_awg_path0 : 0
cont_mode_waveform_idx_awg_path1 : 0
demod_en_acq : False
gain_awg_path0 : 1
gain_awg_path1 : 1
integration_length_acq : 1024
marker_ovr_en : False
marker_ovr_value : 0
mixer_corr_gain_ratio : 1
mixer_corr_phase_offset_degree : -0
mod_en_awg : False
nco_freq : 0 (Hz)
nco_freq_cal_type_default : off (Hz)
nco_phase_offs : 0 (Degrees)
nco_prop_delay_comp : 0 (ns)
nco_prop_delay_comp_en : False (ns)
offset_awg_path0 : 0
offset_awg_path1 : 0
sync_en : False
thresholded_acq_marker_address : 1
thresholded_acq_marker_en : False
thresholded_acq_marker_invert : False
thresholded_acq_rotation : 0 (Degrees)
thresholded_acq_threshold : 0
thresholded_acq_trigger_address : 1
thresholded_acq_trigger_en : False
thresholded_acq_trigger_invert : False
trigger10_count_threshold : 1
trigger10_threshold_invert : False
trigger11_count_threshold : 1
trigger11_threshold_invert : False
trigger12_count_threshold : 1
trigger12_threshold_invert : False
trigger13_count_threshold : 1
trigger13_threshold_invert : False
trigger14_count_threshold : 1
trigger14_threshold_invert : False
trigger15_count_threshold : 1
trigger15_threshold_invert : False
trigger1_count_threshold : 1
trigger1_threshold_invert : False
trigger2_count_threshold : 1
trigger2_threshold_invert : False
trigger3_count_threshold : 1
trigger3_threshold_invert : False
trigger4_count_threshold : 1
trigger4_threshold_invert : False
trigger5_count_threshold : 1
trigger5_threshold_invert : False
trigger6_count_threshold : 1
trigger6_threshold_invert : False
trigger7_count_threshold : 1
trigger7_threshold_invert : False
trigger8_count_threshold : 1
trigger8_threshold_invert : False
trigger9_count_threshold : 1
trigger9_threshold_invert : False
ttl_acq_auto_bin_incr_en : False
ttl_acq_input_select : 0
ttl_acq_threshold : 0
upsample_rate_awg_path0 : 0
upsample_rate_awg_path1 : 0
cluster0_module4_sequencer2:
parameter value
--------------------------------------------------------------------------------
connect_acq_I : off
connect_acq_Q : off
connect_out0 : off
connect_out1 : off
cont_mode_en_awg_path0 : False
cont_mode_en_awg_path1 : False
cont_mode_waveform_idx_awg_path0 : 0
cont_mode_waveform_idx_awg_path1 : 0
demod_en_acq : False
gain_awg_path0 : 1
gain_awg_path1 : 1
integration_length_acq : 1024
marker_ovr_en : False
marker_ovr_value : 0
mixer_corr_gain_ratio : 1
mixer_corr_phase_offset_degree : -0
mod_en_awg : False
nco_freq : 0 (Hz)
nco_freq_cal_type_default : off (Hz)
nco_phase_offs : 0 (Degrees)
nco_prop_delay_comp : 0 (ns)
nco_prop_delay_comp_en : False (ns)
offset_awg_path0 : 0
offset_awg_path1 : 0
sync_en : False
thresholded_acq_marker_address : 1
thresholded_acq_marker_en : False
thresholded_acq_marker_invert : False
thresholded_acq_rotation : 0 (Degrees)
thresholded_acq_threshold : 0
thresholded_acq_trigger_address : 1
thresholded_acq_trigger_en : False
thresholded_acq_trigger_invert : False
trigger10_count_threshold : 1
trigger10_threshold_invert : False
trigger11_count_threshold : 1
trigger11_threshold_invert : False
trigger12_count_threshold : 1
trigger12_threshold_invert : False
trigger13_count_threshold : 1
trigger13_threshold_invert : False
trigger14_count_threshold : 1
trigger14_threshold_invert : False
trigger15_count_threshold : 1
trigger15_threshold_invert : False
trigger1_count_threshold : 1
trigger1_threshold_invert : False
trigger2_count_threshold : 1
trigger2_threshold_invert : False
trigger3_count_threshold : 1
trigger3_threshold_invert : False
trigger4_count_threshold : 1
trigger4_threshold_invert : False
trigger5_count_threshold : 1
trigger5_threshold_invert : False
trigger6_count_threshold : 1
trigger6_threshold_invert : False
trigger7_count_threshold : 1
trigger7_threshold_invert : False
trigger8_count_threshold : 1
trigger8_threshold_invert : False
trigger9_count_threshold : 1
trigger9_threshold_invert : False
ttl_acq_auto_bin_incr_en : False
ttl_acq_input_select : 0
ttl_acq_threshold : 0
upsample_rate_awg_path0 : 0
upsample_rate_awg_path1 : 0
cluster0_module4_sequencer3:
parameter value
--------------------------------------------------------------------------------
connect_acq_I : off
connect_acq_Q : off
connect_out0 : off
connect_out1 : off
cont_mode_en_awg_path0 : False
cont_mode_en_awg_path1 : False
cont_mode_waveform_idx_awg_path0 : 0
cont_mode_waveform_idx_awg_path1 : 0
demod_en_acq : False
gain_awg_path0 : 1
gain_awg_path1 : 1
integration_length_acq : 1024
marker_ovr_en : False
marker_ovr_value : 0
mixer_corr_gain_ratio : 1
mixer_corr_phase_offset_degree : -0
mod_en_awg : False
nco_freq : 0 (Hz)
nco_freq_cal_type_default : off (Hz)
nco_phase_offs : 0 (Degrees)
nco_prop_delay_comp : 0 (ns)
nco_prop_delay_comp_en : False (ns)
offset_awg_path0 : 0
offset_awg_path1 : 0
sync_en : False
thresholded_acq_marker_address : 1
thresholded_acq_marker_en : False
thresholded_acq_marker_invert : False
thresholded_acq_rotation : 0 (Degrees)
thresholded_acq_threshold : 0
thresholded_acq_trigger_address : 1
thresholded_acq_trigger_en : False
thresholded_acq_trigger_invert : False
trigger10_count_threshold : 1
trigger10_threshold_invert : False
trigger11_count_threshold : 1
trigger11_threshold_invert : False
trigger12_count_threshold : 1
trigger12_threshold_invert : False
trigger13_count_threshold : 1
trigger13_threshold_invert : False
trigger14_count_threshold : 1
trigger14_threshold_invert : False
trigger15_count_threshold : 1
trigger15_threshold_invert : False
trigger1_count_threshold : 1
trigger1_threshold_invert : False
trigger2_count_threshold : 1
trigger2_threshold_invert : False
trigger3_count_threshold : 1
trigger3_threshold_invert : False
trigger4_count_threshold : 1
trigger4_threshold_invert : False
trigger5_count_threshold : 1
trigger5_threshold_invert : False
trigger6_count_threshold : 1
trigger6_threshold_invert : False
trigger7_count_threshold : 1
trigger7_threshold_invert : False
trigger8_count_threshold : 1
trigger8_threshold_invert : False
trigger9_count_threshold : 1
trigger9_threshold_invert : False
ttl_acq_auto_bin_incr_en : False
ttl_acq_input_select : 0
ttl_acq_threshold : 0
upsample_rate_awg_path0 : 0
upsample_rate_awg_path1 : 0
cluster0_module4_sequencer4:
parameter value
--------------------------------------------------------------------------------
connect_acq_I : off
connect_acq_Q : off
connect_out0 : off
connect_out1 : off
cont_mode_en_awg_path0 : False
cont_mode_en_awg_path1 : False
cont_mode_waveform_idx_awg_path0 : 0
cont_mode_waveform_idx_awg_path1 : 0
demod_en_acq : False
gain_awg_path0 : 1
gain_awg_path1 : 1
integration_length_acq : 1024
marker_ovr_en : False
marker_ovr_value : 0
mixer_corr_gain_ratio : 1
mixer_corr_phase_offset_degree : -0
mod_en_awg : False
nco_freq : 0 (Hz)
nco_freq_cal_type_default : off (Hz)
nco_phase_offs : 0 (Degrees)
nco_prop_delay_comp : 0 (ns)
nco_prop_delay_comp_en : False (ns)
offset_awg_path0 : 0
offset_awg_path1 : 0
sync_en : False
thresholded_acq_marker_address : 1
thresholded_acq_marker_en : False
thresholded_acq_marker_invert : False
thresholded_acq_rotation : 0 (Degrees)
thresholded_acq_threshold : 0
thresholded_acq_trigger_address : 1
thresholded_acq_trigger_en : False
thresholded_acq_trigger_invert : False
trigger10_count_threshold : 1
trigger10_threshold_invert : False
trigger11_count_threshold : 1
trigger11_threshold_invert : False
trigger12_count_threshold : 1
trigger12_threshold_invert : False
trigger13_count_threshold : 1
trigger13_threshold_invert : False
trigger14_count_threshold : 1
trigger14_threshold_invert : False
trigger15_count_threshold : 1
trigger15_threshold_invert : False
trigger1_count_threshold : 1
trigger1_threshold_invert : False
trigger2_count_threshold : 1
trigger2_threshold_invert : False
trigger3_count_threshold : 1
trigger3_threshold_invert : False
trigger4_count_threshold : 1
trigger4_threshold_invert : False
trigger5_count_threshold : 1
trigger5_threshold_invert : False
trigger6_count_threshold : 1
trigger6_threshold_invert : False
trigger7_count_threshold : 1
trigger7_threshold_invert : False
trigger8_count_threshold : 1
trigger8_threshold_invert : False
trigger9_count_threshold : 1
trigger9_threshold_invert : False
ttl_acq_auto_bin_incr_en : False
ttl_acq_input_select : 0
ttl_acq_threshold : 0
upsample_rate_awg_path0 : 0
upsample_rate_awg_path1 : 0
cluster0_module4_sequencer5:
parameter value
--------------------------------------------------------------------------------
connect_acq_I : off
connect_acq_Q : off
connect_out0 : off
connect_out1 : off
cont_mode_en_awg_path0 : False
cont_mode_en_awg_path1 : False
cont_mode_waveform_idx_awg_path0 : 0
cont_mode_waveform_idx_awg_path1 : 0
demod_en_acq : False
gain_awg_path0 : 1
gain_awg_path1 : 1
integration_length_acq : 1024
marker_ovr_en : False
marker_ovr_value : 0
mixer_corr_gain_ratio : 1
mixer_corr_phase_offset_degree : -0
mod_en_awg : False
nco_freq : 0 (Hz)
nco_freq_cal_type_default : off (Hz)
nco_phase_offs : 0 (Degrees)
nco_prop_delay_comp : 0 (ns)
nco_prop_delay_comp_en : False (ns)
offset_awg_path0 : 0
offset_awg_path1 : 0
sync_en : False
thresholded_acq_marker_address : 1
thresholded_acq_marker_en : False
thresholded_acq_marker_invert : False
thresholded_acq_rotation : 0 (Degrees)
thresholded_acq_threshold : 0
thresholded_acq_trigger_address : 1
thresholded_acq_trigger_en : False
thresholded_acq_trigger_invert : False
trigger10_count_threshold : 1
trigger10_threshold_invert : False
trigger11_count_threshold : 1
trigger11_threshold_invert : False
trigger12_count_threshold : 1
trigger12_threshold_invert : False
trigger13_count_threshold : 1
trigger13_threshold_invert : False
trigger14_count_threshold : 1
trigger14_threshold_invert : False
trigger15_count_threshold : 1
trigger15_threshold_invert : False
trigger1_count_threshold : 1
trigger1_threshold_invert : False
trigger2_count_threshold : 1
trigger2_threshold_invert : False
trigger3_count_threshold : 1
trigger3_threshold_invert : False
trigger4_count_threshold : 1
trigger4_threshold_invert : False
trigger5_count_threshold : 1
trigger5_threshold_invert : False
trigger6_count_threshold : 1
trigger6_threshold_invert : False
trigger7_count_threshold : 1
trigger7_threshold_invert : False
trigger8_count_threshold : 1
trigger8_threshold_invert : False
trigger9_count_threshold : 1
trigger9_threshold_invert : False
ttl_acq_auto_bin_incr_en : False
ttl_acq_input_select : 0
ttl_acq_threshold : 0
upsample_rate_awg_path0 : 0
upsample_rate_awg_path1 : 0
Status: OKAY, Flags: NONE, Slot flags: NONE